******伟德国际1946源于英国 - 源自始于英国1946官网

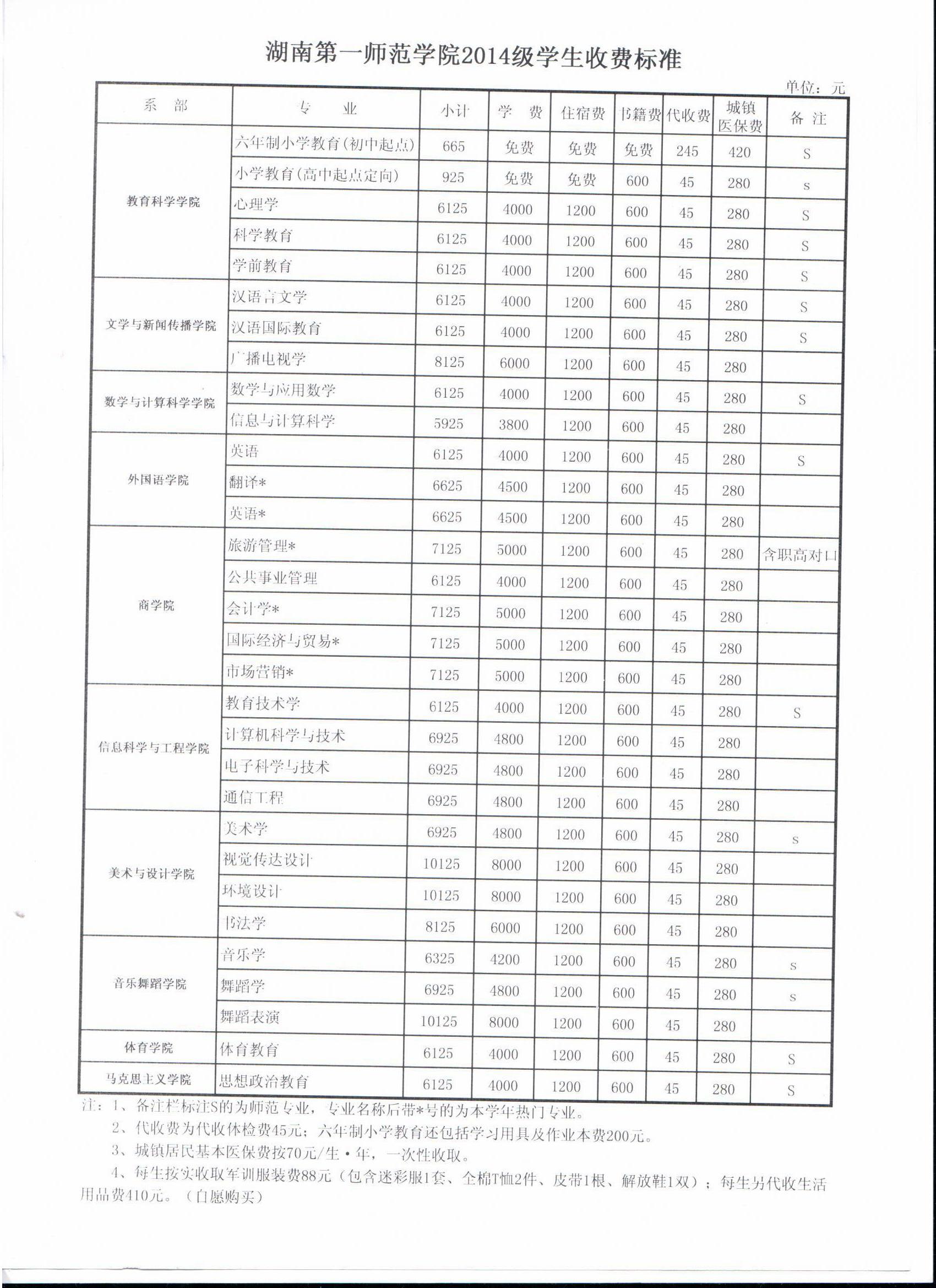
伟德国际1946源于英国2014级新生收费标准

作者: 时间:2016-11-30 点击数:

Powered By 版权所有:伟德国际1946源于英国 - 源自始于英国1946官网 All Rights Reserved ©2006-2026 最佳分辨率:1024*768